曲线要素是道路的术语,主要分为平曲线要素、竖曲线要素。
平曲线要素
平曲线要素包含:半径、缓和曲线、转向角、圆曲线长、曲线长、切线长、外失距、切曲差、切垂距、内移距、缓和曲线角、曲线主点桩号。
根据《路规》和回旋线定义,由缓和曲线(回旋线)基本公式可求出m1、m2、p1、p2该公式属于无限多项式,这里取前5项作为基本公式,然后可通过m1、m2、p1、p2计算切线长T1、T2等。
切垂距 m通用式,即:

式中:ls1为第一缓和曲线长,ls2为第二缓和曲线长,R为半径。
式中:ls1为第一缓和曲线长,ls2为第二缓和曲线长,R为半径。
式中:a为转向角,m为切垂距,p为内移距,R为半径。
式中:R为半径,a为转向角,ls1为第一缓和曲线长,ls2为第二缓和曲线长。
式中:Ly 为圆曲线长,ls1为第一缓和曲线长,ls2为第二缓和曲线长。
式中:T为切线长,L为曲线长。
式中:ls为缓和曲线长,R为半径。
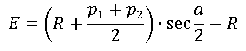
式中:R为半径,p1 为内移距,a为转向角。
式中:KJD 为交点里程,T1 为第一切线长,ls1为第一缓和曲线长,Ly为圆曲线长,ls2为第二缓和曲线长。
相关文章:
声明:本文系作者授权【学测量】发表,如需转载请注明出处。
本内容为作者个人观点,不代表学测量网站立场.
如对本文有异议或投诉,联系bd@xueceliang.cn








